Сравнительная оценка стрелкового вооружения самолетов (ЭИ № 11 (243), апрель 1944 г.)

Стрелковое вооружение самолетов «Харрикейн», «Спитфайр», «Тандерболт», «Летающая крепость» и многих других отличается мощностью, проверенной в действии. Однако сравнительное качество вооружения этих самолетов неизвестно из-за отсутствия удовлетворительного метода оценки.

Ниже приводится краткое изложение статьи Питера Мейсфилда, напечатанной в ряде английских и американских журналов и посвященной данному вопросу.

Наиболее распространенный и легкий метод оценки вооружения по весу секундного залпа не может считаться удовлетворительным. При оценке необходимо учитывать скорострельность оружия, массу и начальную скорость снаряда.

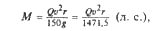
Мейсфилд предлагает проводить сравнение по суммарной величине «дульной мощности» огня пулеметов и пушек. Эта мощность, отнесенная к дульному срезу оружия и выраженная в лошадиных силах, может быть подсчитана по формуле

где Q — вес снаряда (кг);

v — начальная скорость снаряда (м/с);

r — скорострельность (выстр./р);

g = 9,81 — ускорение силы тяжести (м/с²).

Табл. 1 дает представление о развитии авиационного оружия с 1918 г.

Как видно, наибольшая дульная мощность оружия, приведенного в таблице, составляет 716 л. с. (против 32 л. с. в 1918 г.), а наибольшая кинетическая энергия снаряда — 17 600 кг-м (против 360 кг-м в 1918 г.). Следует отметить, что, несмотря на большую кинетическую энергию снаряда, ценность характеристик 37-мм пушки снижается малой скорострельностью (1,4 выстр./с). Давая хорошие результаты при стрельбе по наземным целям, когда цель находится в поле зрения прицела несколько секунд, пушка почти бесполезна при одиночном воздушном бое, когда время нахождения цели в поле зрения прицела зачастую не превышает 1/5 с. За это время пулемет калибра 12,7 мм делает 2 выстрела, а 37-миллиметровая пушка — ни одного.

Таблица 1 Сравнительные данные авиационного оружия (в порядке возрастания дульной мощности)

Тип оружия Калибр, мм Число выстрелов Дульная мощность,л. с. Кинетическая энергия снаряда, кг- м Вес минутного залпа, кг в минуту в секунду Английский пулемет Виккерс (синхронный) 1918 г. 7,69 400 6,7 32 360 4,54 Германский пулемет MG-17 (синхронный) 7,92 600 10 46 338 7,07 Американский пулемет Кольт-Браунинг 7,62 1100 18,4 75 306 12,0 Английский пулемет Браунинг 7,69 1100 18,4 77 314 12,5 Германский пулемет MG-17 7,92 1100 18,4 81 338 13,0 Германский пулемет MG-131 13 900 15 194 970 30,7 Германская пушка MG-FF 20 450 7,5 201 2010 51 Германская пушка МК-101 30 100 1,7 208 9350 31,8 Американский пулемет Кольт-Браунинг (синхронный) 12,7 600 10 237 1770 35,2 Американский пулемет Кольт-Браунинг 12,7 750 12,5 296 1770 43,9 Американская пушка тип «АА» 37 85 1,4 329 17 600 42,5 Германская пушка MG-151/15 15 950 15,8 515 2440 64,5 Германская пушка MG-151/20 (синхронная) 20 700 11,7 630 4050 79,5 Английская пушка Испано 20 650 10,8 632 4400 73,8 Германская пушка MG-151/20 20 800 13,3 716 4050 91

В связи с этим возникает вопрос о вооружении специального назначения. Можно определить наилучшую комбинацию оружия (имея ограниченный выбор типов) в пределах допустимого веса для самолетов различных назначения и классов.

Одноместный истребитель, предназначенный для ведения одиночного боя с истребителями противника, должен иметь оружие высокой скорострельности вследствие необходимости производить стрельбу в короткий отрезок времени. При условии, что скорострельность и кинетическая энергия снаряда достаточно велики, наилучшим будет вооружение максимальной мощности, так как понятие «мощность» включает все основные характеристики.

Наилучшим оружием для такого истребителя будет германская пушка MG-151/20 при применении ее без синхронизатора. Хотя кинетическая энергия снаряда пушки MG-151/20 (4050 кг-м) несколько меньше, чем пушки Испано (4400 кг-м), ее скорострельность больше и дульная мощность выше на 11 %.

При выборе вооружения необходимо также учитывать вес. Четыре пушки Испано и шесть пулеметов Кольт-Браунинг калибра 12,7 мм весят примерно одинаково, но первые являются, безусловно, лучшим вооружением, так как развивают мощность 2528 л. с., производя 43 выстрела в секунду (8 выстрелов в 1/5 с), а вторые развивают мощность 1776 л. с., производя 75 выстрелов в секунду (15 выстрелов в 1/5 с). Кинетическая энергия снаряда пушки Испано более чем в 2,5 раза выше, чем у пулемета Кольт-Браунинг.

Наилучшим истребителем для борьбы с бомбардировщиками следует считать двухмоторный. Для его вооружения наибольшее значение имеет сочетание большой кинетической энергии снаряда с высокой дульной мощностью. Пушка MG-151/20 опять обладает преимуществом по сравнению с пушкой Испано. Хотя у первой кинетическая энергия снаряда на 7 % меньше, но вряд ли какая-либо броня, поддающаяся удару снаряда пушки Испано, выдержит удар ее снаряда. 37-миллиметровая пушка имеет слишком низкую скорострельность и не может быть особенно эффективной, несмотря на большую кинетическую энергию снаряда. Пулемет Кольт-Браунинг калибра 12,7 мм, несмотря на высокую скорострельность, по мощности огня и кинетической энергии снаряда значительно уступает пушкам калибра 20 мм.

Таблица 2 Сравнительные данные наступательного вооружения истребителей (в порядке возрастания суммарной дульной мощности)

Название самолета Общее число пулеметов и пушек Полное число выстрелов в секунду Суммарная дульная мощность, л. с. Кинетическая энергия самого крупного снаряда, кг — м Общий вес минутного залпа, кг «Дифайент» 4 73,6 308 314 50 S-00 («Зеро») 4 35 480 2010 113,2 Ме-109Е 4 35 491 2010 116,3 «Томахоок» Р-40 6 93,6 537 1770 122 «Харрикейн» I 8 147,2 616 314 100 «Спитфайр» I 8. 147,2 616 314 100 Ме-11 °C5 6 88,6 726 2010 154 Me-109F 3 33,3 806 4050 105 «Харрикейн» IIB 12 220,8 922 314 150 «Эркобра» (37 мм) 7 95 1103 17 600 161 «Лайтнинг» 5 72,6 1378 4400 185,5 «Эркобра» (20 мм) 7 114,4 1406 4400 192 Hs-129 5 69,7 1410 9350 195 «Спитфайр* IX 6 95,2 1575 4400 202 Ме-210А-1 4 70,1 1594 4050 196 FW-190 б 58,4 1752 4050 275 «Уорхоок» Р-40 6 75 1776. 1770 264 «Корсар» 6 75 1776 1770 264 «Уайлдкэт» F4F-5 б 75 1776 1770 264 «Мустанг» 1А 8 95 1930 1770 270 Me-109G 5 59,9 2238 4050 286 «Тандерболг» 8 100 2368 1770 350,5 «Уэрлуинд» 4 43,2 2535 4400 295 «Харрикейн» IIC 4 43,2 2535 4400 295 «Спитфайр» 1ХВ 4 43,2 2535 4400 295 «Москито» II 8 116,8 2836 4400 345 «Бофайтер» 10 153,6 2950 4400 370

Таким образом, для обоих классов истребителей суммарная дульная мощность является хорошим критерием оценки вооружения.

Самолет для штурмовых атак наземных целей должен иметь оружие с большой кинетической энергией снаряда, обеспечивающей пробивание брони атакуемых объектов. Недостатком 37-миллиметровой пушки, имеющей наибольшую кинетическую энергию снаряда, является ее низкая скорострельность. За время атаки она может произвести 1–2 выстрела, хотя здесь также важно иметь сосредоточенный огонь. Следовательно, необходимо применять самолет с несколькими пушками или несколько однопушечных самолетов. И здесь дульная мощность при условии большей кинетической энергии снаряда является мерилом эффективности вооружения.

Для оборонительного вооружения бомбардировщиков наибольшее значение имеют: дальность огня, заставляющая противника держаться на значительном расстоянии, максимальное сосредоточение огня по одной цели и сферическая оборона без мертвых зон.

Эффективная дальность огня связана с начальной скоростью, массой снаряда и скорострельностью, а следовательно, зависит от дульной мощности. Максимальное сосредоточение огня и устранение мертвых зон зависят от расположения вооружения.

Для оборонительного вооружения не следует применять малокалиберные пулеметы, несмотря на их скорострельность, так как эффективная дальность их огня и развиваемая мощность незначительны. Наилучшие результаты обеспечивает пулемет калибра 12,7 мм. Он достаточно мощен для обеспечения надлежащей пробивной способности при большой дальности и достаточно легок для применения в подвижных установках любого типа. Оружие более крупного калибра, конечно, было бы эффективней, если бы его можно было также легко применять в подвижных установках.

Существующее вооружение наиболее известных истребителей можно оценить по данным, приведенным в табл. 2, если не принимать во внимание продолжительность огня и летных свойств самолета.

Среди одноместных одномоторных истребителей для одиночного боя лучшими следует признать: «Спитфайр» IXB (4 пушки Испано), «Тандерболт» (8 пулеметов калибра 12,7 мм) и Мессершмитг Me-109G (3 пушки MG-151/20 и 2 синхронных пулемета MG-17).

Среди истребителей для борьбы с бомбардировщиками лучшими следует признать: «Бофайтер» (4 пушки Испано и 6 пулеметов Браунинг калибра 7,69 мм), «Москито» II (4 пушки Испано и 4 пулемета Браунинг калибра 7,69 мм) и «Уэрлуинд» (4 пушки Испано).

Среди самолетов для атак наземных целей лучшими следует признать: «Харрикейн» II (2 пушки калибра 40 мм), данные по которому не приведены, Хеншель Hs-129 (1 пушка МК-101, 2 пушки MG-151/15 и 2 пулемета MG-17) и «Эркобру» (1 пушка калибра 37 мм, 2 синхронных пулемета калибра 12,7 мм и 4 пулемета калибра 7,62 мм).

Рассматривая табл. 2, можно понять причину превосходства самолетов «Спитфайр» и «Харрикейн» выпуска 1940 г. над германскими самолетами. Их вооружение состояло из 8 пулеметов с мощностью огня 616 л. с. при 147,2 выстр./с. Их противник, самолет Ме-109Е, имел вооружение из 2 пулеметов и 2 пушек с мощностью огня 491 л. с. при 35 выстр./с. Броня большого распространения еще не имела, и кинетическая энергия снаряда в 314 кг-м была вполне достаточной.

Таблица 3 Сравнительные данные оборонительного вооруженна бомбардировщиков (в порядке возрастания суммарной дульной мощности)

Название самолета Общее число пулеметов и пушек Суммарная дульная мощность,л. с. Число пулеметов и пушек по одной цели Максимальное число выстрелов по одной цели в секунду Дульная мощность по одной цели, л. с. Кинетическая энергия самого крупного снаряда, кг-м Do- 17р (1939 г.) 3 243 1 18,4 81 338 Не-111Н1 (1939 г.) 3 243 1 18,4 81 338 «Бленхейм» IV 4 308 2 36,8 154 314 «Бофорт» б 462 3 54,2 231 314 «Веллингтон» II 6 462 3 54,2 231 314 Do- 17Z2 6 486 2 36,8 162 338 «Бостон» III 7 539 4 73,6 308 314 «Велпинггон» III 8 616 5 92 308 314 «Стерлинг» 8 616 6 110,4 462 314 «Галифакс» IIA 8 616 6 110,4 462 314 «Ланкастер» I 10 770 8 147,2 616 314 Ме-11 °C5 7 805 6 88,6 726 2010 Ju-88A6 5 1166 1 13,3 716 4050 Не-111Н6 6 1234 2 29,1 910 4050 «Мародер» 5 1480 4 50 784 1770 DO-217E2 6 1668 2 29,1 1231 4050 Ме-210А-1 б 1982 4 70,1 1594 4050 «Митчелл» 7 2072 4 50 1184 1770 «Либерейтор» В-240 11 3036 7 87,5 2072 1770 «Летающая крепость» В-17Е 13 3620 7 87,5 2072 1770

Плохие данные самолета FW-190 объясняются установкой пушек MG-151/20 для стрельбы через винт, в то время как в крыльях установлены малоэффективные пушки MG-FF.

Существующее вооружение бомбардировщиков можно оценить по данным, приведенным в табл. 3.

Из таблицы видно несомненное превосходство вооружения самолетов «Либерейтор» B-24D и «Летающая крепость» В-17Е. Оба эти самолета могут сосредотачивать по одной цели огонь большей мощности, чем огонь любого истребителя противника, кроме Me-109G.

Очевидно также превосходство пулеметов калибра 12,7 мм, применяемых на американских бомбардировщиках, над пулеметами калибра 7,69 мм, применяемыми на английских 8 пулеметов самолета «Ланкастер», ведущих огонь по одной дели, развивают мощность 616 л. с., а 7 пулеметов самолетов B-24D и В-17Е — 2072 л. с.

Можно понять и слабость германских самолетов Хейнкель и Дорнье, совершавших налеты на Англию в 1940 г. Они сосредотачивали по одной цели огонь одного пулемета с дульной мощностью 81 л. с., что составляло меньше 1/8 дульной мощности огня английского истребителя.

От редакции. Приведенные таблицы, заимствованные полностью из статьи Мейсфилда, не корректировались и имеют некоторые расхождения с данными других источников (см. данные по оружию в ЭИ № 13, 1943 г. и данные по вооружению самолетов в различных статьях ЭИ за 1943–1944 гг.).

Рис. 1

Более 800 000 книг и аудиокниг! 📚

Получи 2 месяца Литрес Подписки в подарок и наслаждайся неограниченным чтением

ПОЛУЧИТЬ ПОДАРОК