Вертоплан – винтокрылый аппарат XXI века

V-22 «Оспри»

В ряде регионов нашей страны транспортная инфраструктура до сих пор находится на самом низком уровне. По данным Министерства транспорта РФ, насчитывается 45 тысяч населенных пунктов, в которых проживают более 12 млн. человек, лишенных нормального сообщения с другими регионами большую часть года. В 5 субъектах России отсутствует железнодорожное сообщение, а в 14 единственным видом транспорта является авиация. По данным ГосНИИ гражданской авиации и ЦАГИ, расстояния между действующими аэропортами в европейской части Крайнего Севера, Сибири и Дальнего Востока составляют в среднем 1200-1400 км. Положение усугубляется еще и тем, что существующие вертолеты с их дальностями полета и высокой стоимостью перевозки пассажиров и грузов не способны обеспечить авиаперевозки в регионах с неразвитой аэродромной сетью.

Вертолет изначально являлся летательным аппаратом, который способен решать задачи, недоступные самолетам. Однако в процессе массовой эксплуатации машин особое значение приобрели проблемы увеличения скорости и дальности полетов вертолетов.

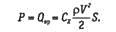
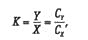
Уровень совершенства самолета для реализации требуемых значений скорости и дальности полета с точки зрения экономической целесообразности может быть оценен аэродинамическим качеством К:

где Y – подъемная сила; X – сила сопротивления аппарата; Cy и Сх – соответственно коэффициенты этих сил. Для винтокрылого летательного аппарата эквивалентное аэродинамическое качество Кв определяется следующей зависимостью:

где Gвзл – взлетный вес ЛА; Vкр – крейсерская скорость полета; Nкр – потребная мощность силовой установки для полета со скоростью Vкр ; Y = YНВ ~ Свзл – подъемная сила несущего винта.

У современных транспортно-пассажирских вертолетов с хорошими аэродинамическими формами максимум Кв находится в пределах от 3,5 до 4,5 единиц. Пассажирские дозвуковые самолеты благодаря рациональной компоновке несущих и ненесущих элементов планера и силовой установки имеют уже 15-20 единиц в зависимости от назначения аппарата. Так, Кмакс у самолетов Ил-86 и Ту-154 составляет 15, а у Ил-96 – 19 единиц.

Максимальное значение аэродинамического качества у транспортно-пассажирских самолетов примерно в 4 раза больше, чем у вертолетов аналогичного назначения. Вредная пластинка (CxS) у вертолетов больше, чем у самолетов, при одинаковом взлетном весе. Следовательно, вертолету требуется большая потребная мощность силовой установки на одинаковых скоростях полета. За счет этого у вертолета будет выше километровый расход топлива и меньше дальность полета.

Вес пустого вертолета примерно на 17% выше, чем самолета одинаковой с ним весовой категории. Это обусловлено тем, что для передачи крутящего момента от двигателей на несущий винт и уравновешивания его реактивного момента требуется относительно тяжелая, громоздкая трансмиссия. Непроизводительные затраты мощности двигателей на обеспечение функционирования трансмиссии и ее систем составляют около 4%, на уравновешивание реактивного момента несущего винта – 10-12%. Поэтому вес коммерческой нагрузки и топлива у вертолета окажется значительно меньше, чем у самолета. Эти показатели еще более ухудшаются за счет установки на вертолете более мощных и тяжелых двигателей с повышенными расходами топлива.

Основным критерием экономичности транспортно-пассажирских ЛА является себестоимость тонно-километра и пассажиро-километра. Обобщенные стоимостные критерии зависят от аэродинамического качества аппарата, крейсерской скорости и дальности полета. По этим показателям вертолет существенно уступает самолету.

Все перечисленное в совокупности и является платой за то, что вертолет в отличие от самолета может взлетать и садиться вертикально, осуществлять висение и перемещения на малых скоростях полета. Именно поэтому борьба за повышение скорости и дальности полета винтокрылых ЛА была и остается весьма актуальной. Однако конструкторы вертолетов до настоящего времени не могут преодолеть проблему существенного роста аэродинамического сопротивления несущего винта при скорости более 300 км/ч.

Возможности несущего винта

Несущий винт вертолета проектируется, в первую очередь, для обеспечения висения, перемещений у земли с небольшими скоростями и достижения необходимых величин статического и динамического потолка. По результатам исследований, у современных вертолетов заданные летные данные могут быть получены, если скорость обтекания потоком воздуха концевых сечений скоростных профилей лопастей будет равна 220-230 м/с. Для реализации такой скорости на несущем винте требуется почти в 100 раз уменьшить частоту вращения свободных турбин двигателей. Это обеспечивается механической трансмиссией и выбором передаточного отношения ее главного редуктора.

В полете мощность двигателей NНВ , потребляемая несущим винтом, расходуется на обеспечение его вращения для создания необходимой величины тяги Т = = Gпол и пропульсивной силы:

При этом NНВ = Ni + Np где Ni и Np - индуктивная и профильная составляющие мощности.

По результатам исследований, индуктивные затраты мощности на режиме висения составляют 73-78%, на средних скоростях – 40% и уменьшаются до 13% на максимальной скорости полета вертолета.

Вредное сопротивление ненесущих частей вертолета с ростом скорости увеличивается по квадратной параболе, а потребная мощность двигателей на его преодоление – по кубической параболе. Потери мощности на преодоление вредного сопротивления составляют 15-10% на средних скоростях и 40-35% на максимальной скорости полета. Профильные потери мощности на вращение несущего винта на висении составляют 22-27%, а на максимальной скорости полета – 50% и более. При этом критическое число Мкр концевых сечений лопастей на относительном радиусе 0,9-1,0 должно быть не менее 0,9.

Исследования также показали, что на режиме полета

потребная мощность на вращение несущего винта увеличивается из-за проявления эффекта сжимаемости воздуха на 15-18%. Если число М полета вертолета достигает значения Мкр + 0,15, то увеличение потребной мощности силовой установки составит уже около 30%.

Приоритетными летными характеристиками для транспортно-пассажирского вертолета являются дальность полета L с заданной коммерческой нагрузкой, оптимальная крейсерская скорость полета Vкр и минимально возможный километровый расход топлива q. Минимизировать q на крейсерских режимах полета вертолета можно за счет снижения потерь мощности на преодоление профильного сопротивления НВ путем уменьшения его частоты вращения ω. Это обеспечивается регуляторами частоты вращения свободных турбин двигателей. Существующие вертолетные газотурбинные двигатели позволяют уменьшить ω только на 10-12%.

От величины крейсерской скорости зависит как километровый расход топлива, так и дальность полета ЛА. В связи с этим необходимо выявить возможности НВ для реализации максимально возможных значений крейсерских скоростей винтокрылых аппаратов.

Факторы, ограничивающие скорость полета

Дальнейшее увеличение скорости полета вертолета после достижения Мкр + + 0,15 сопровождается интенсивным ростом волнового сопротивления на лопастях НВ. Для вращения НВ и преодоления его профильного сопротивления в этом случае требуется значительное увеличение мощности силовой установки. Именно в этом заключается физический и экономический смысл ограничения скорости полета транспортно-пассажирского вертолета. Увеличение его крейсерской скорости до 300 км/ч и более сопряжено с нерациональным использованием мощности двигателей, что приводит к повышенным километровым расходам топлива, увеличению потребного запаса топлива, уменьшению веса перевозимого груза и дальности полета.

По мере увеличения скорости полета вертолета и возрастания полной аэродинамической силы на НВ возникают, а затем расширяются зоны повышенных, критических и закритических углов атаки элементов сечений отступающих лопастей при их вращении и связанное с этим явление срыва потока воздуха.

Негативность зон срыва воздуха на НВ проявляется в увеличении напряжений в лопастях, шарнирных моментов и потребных усилий в цепях управления, в росте вибрации аппарата, его разбалансировке и ухудшении управляемости. Кроме того, вносимая в динамически нагруженные элементы конструкции вертолета (лопасти, втулка, автомат перекоса, элементы системы управления НВ) повреждаемость более интенсивно уменьшает их ресурс. Это является дополнительным фактором, ограничивающим скорость вертолета.

Существуют конструктивные факторы ограничения скорости. С ростом скорости полета вертолета расширяющиеся зоны срыва потока воздуха на НВ приводят к отклонению вектора полной аэродинамической силы в поперечном отношении, увеличению боковой силы на НВ и кренящего момента. Для парирования этого момента с ростом скорости требуется увеличение полной аэродинамической силы и отклонение ее вектора в поперечном отношении рычагом управления. Это также сказывается на возрастании нерациональной траты мощности силовой установки. Для преодоления и уравновешивания вредного сопротивления QBp вертолета с ростом скорости полета требуется соответствующее увеличение пропульсивной силы НВ. Это обеспечивается за счет увеличения угла атаки НВ, его полной аэродинамической силы и отклонения ее вектора вперед на необходимую величину.

Угол атаки НВ вертолетов, как правило, ограничен величиной минус 20-25°. С целью предотвращения столкновения лопастей НВ с носовым отсеком фюзеляжа в системе управления вертолетом предусматривается конструктивный упор, ограничивающий отклонение вперед рычага управления.

Комбинированные винтокрылые ЛА

В нашей стране и за рубежом проводились интенсивные исследования скоростных винтокрылых летательных аппаратов на базе использования для взлета и посадки вертолетных несущих винтов. Эти исследования, например, в Англии (1957 г.) и СССР (1959 г.) завершились постройкой экспериментальных винтокрылов «Ротодайн» и Ка-22.

В то время наиболее простым решением для достижения на винтокрылах больших скоростей и дальностей полета считались установка крыла и движителей с целью разгрузки НВ и уменьшение профильных потерь мощности на его вращение.

Однако этим надеждам не суждено было осуществиться из-за использования вертолетного несущего винта. Вместе с несущим винтом винтокрылы унаследовали те же проблемы и ограничения, которые присущи вертолетам.

Идея разгрузки вертолетного несущего винта на больших скоростях полета оказалась живучей. Сегодня конструкторы винтокрылых летательных аппаратов большие надежды возлагают на возможность использования комбинации «вертолетный НВ – движитель» подобно самолетной комбинации «крыло – движитель».

На самолете подъемную силу создает крыло, а силу тяги – тянущие или толкающие пропеллеры. На вертолете в поступательном движении НВ создает как силу тяги, так и пропульсивную (тянущую) силу. В ряде работ рассматриваются проекты винтокрылых аппаратов, у которых на больших скоростях полета несущему винту, как и крылу, предлагается оставить только функцию создания тяги, уравновешивающей силу тяжести аппарата, а получение пропульсивной силы возложить на пропеллер.

Для реализации на винтокрылых ЛА, использующих НВ, крейсерской скорости 400 км/ч и выше необходимо минимизировать профильное сопротивление лопастей винта и потери профильной мощности. Добиться этого можно, если скорость обтекания потоком воздуха концевых сечений наступающих лопастей не будет превышать величины

Из указанного условия следует, что на скорости полета аппарата 400 км/ч скорость ωR концевых сечений лопастей должна быть не более 140-130 м/с, а не 220230 м/с, как это требуется для взлета, висения, посадки и полета на больших высотах и скоростях. Следовательно, двигатели и трансмиссия такого ЛА должны обеспечивать в полете изменение частоты вращения НВ в пределах от 100 до 60%.

Современные вертолетные двигатели со свободной турбиной позволяют уменьшить частоту вращения НВ только на 10-12%. Уменьшение частоты вращения НВ до 40% с использованием различного рода муфт и коробок скоростей ведет к дальнейшему увеличению веса трансмиссии и пустого аппарата по сравнению с указанными параметрами существующих винтокрылых ЛА. Установка пропеллера увеличивает как вредное сопротивление винтокрыла, так и его пустой вес по сравнению с аналогичными параметрами вертолета. Пропульсивный коэффициент полезного действия пропеллера меньше, чем его величина у НВ. Все это в совокупности потребует увеличения располагаемой мощности силовой установки, что неизбежно приведет к ухудшению топливной экономичности и дальнейшему росту себестоимости летного часа ЛА по сравнению с себестоимостью летного часа современных вертолетов мирового уровня.

Винтокрыл «Ротодайн»

В прошлом столетии неоднократно предпринимались попытки создания экспериментальных винтокрылых ЛА для реализации высоких скоростей полета. Так, например, в 1961 году на винтокрыле Ка-22 был установлен мировой рекорд скорости полета 356 км/ч, на S-69 фирмы «Сикорский» достигнута скорость 485 км/ч. Экспериментальный самолет вертикального взлета и посадки (СВВП) фиоры «Белл» XV-15 в 1977 году превысил скорость 500 км/ч.

Экспериментальный S-69 оснащался соосным НВ с жестким креплением лопастей к втулке. Подъемная сила НВ создавалась только на наступающих лопастях (схема АВС), для получения силы тяги применялись маршевые двигатели. Была продемонстрирована работоспособность этой концепции и выявлены проблемы с обеспечением прочности НВ и преодолением повышенного уровня вибраций на больших скоростях полета.

Большие надежды фирмы «Белл» и «Боинг» связывали с СВВП V-22 «Оспри» военного назначения, который более 20 лет находился в стадии доводки. У этого аппарата на концах консолей крыла расположены поворотные гондолы двигателей с жесткими винтами изменяемого шага. После перевода винтов в самолетную конфигурацию крейсерская скорость полета достигает 460 км/ч.

В связи с тем, что конфигурация СВВП несколько раз меняется в полете за счет поворота винтов, весьма актуальной остается проблема обеспечения безопасности полетов. Высокая сложность и дороговизна аппарата (41,8 млн. долларов) не оправдали данное техническое решение для создания гражданской модификации V-22.

В настоящее время проводятся широкие исследования в области создания соосного НВ по схеме АВС и его применения на скоростных винтокрылых летательных аппаратах. В США на фирме «Сикорский» утверждена программа разработки скоростных винтокрылых летательных аппаратов соосного типа, в том числе постройки летающей лаборатории X2, первый полет которой состоялся в 2008 г. В нашей стране специалистами фирмы «Камов» разработана концепция создания по схеме АВС скоростного вертолета на базе соосных НВ.

На взлете, посадке, висении и малых скоростях полета несущий винт на таких винтокрылых ЛА создает силу тяги и пропульсивную силу, подобно НВ вертолета. В поступательном движении на больших скоростях полета НВ создает только подъемную силу, уравновешивающую силу тяжести аппарата, а силу тяги вместо пропульсивной силы создает толкающий винт (пропеллер). Создателям скоростных винтокрылых ЛА предстоит преодолеть те же проблемы, с которыми встретились проектировщики S-69.

Все скоростные винтокрылые аппараты объединяет то, что они заимствуют у вертолета НВ, вертикальные взлет-посадку, висение и перемещения на малых скоростях, а вместе с ними и его ограниченные возможности и сложную, нагруженную, тяжелую, дорогостоящую трансмиссию. Вес трансмиссии и обеспечивающих ее работу систем для вращения НВ и пропеллера (пропеллеров) составит не менее 17% от веса пустого аппарата. На обеспечение функционирования трансмиссии и ее систем для вращения винтов потребуются нерациональные затраты мощности двигателей, как и на вертолете.

Известно, что эквивалентное аэродинамическое качество (К) у современных вертолетов достигает максимума 4,5 единицы на скорости около 230 км/ч, которое уменьшается до 3,5 единицы на скорости 350 км/ч. У винтокрылов Я составляет 5 единиц на скорости 250 км/ч, а на скорости 450 км/ч – 3 единицы. Для скоростного вертолета с соосным НВ (схема АВС) на крейсерской скорости 450 км/ч вряд ли удастся достигнуть Яв более 4 единиц.

В связи с этим дальность полета такого вертолета с максимальной пассажирской загрузкой будет сопоставимой с ее значением у современных нескоростных зарубежных вертолетов мирового уровня.

Комбинации «вертолетный НВ – движитель» можно отдать предпочтение только при создании скоростного боевого винтокрылого ЛА (штурмовика или истребителя). Это обусловлено тем, что экономические критерии себестоимости тонно-километра и пассажиро-километра к этому летательному аппарату не имеют никакого отношения. В связи с этим скоростной винтокрылый ЛА с вертолетным НВ, как и V-22 «Оспри», может быть заказан как в США, так и у нас в стране только военными.

Ка-22

Инновационная идея создания вертоплана

Вертоплан – это винтокрылый ЛА с несущей аэродинамической системой, включающей в себя авторотирующий несущий винт и крыло, который способен осуществлять взлет и посадку без разбега. Он имеет аэродинамическое качество, крейсерскую скорость и дальность полета в 2-3 раза большие, чем у существующих вертолетов. У автожира с прыжковым взлетом вертоплан заимствует авторотирующий НВ, принцип его раскрутки на старте перед взлетом для приобретения необходимого запаса кинетической энергии и принцип взлета без разбега.

Система раскрутки НВ вертоплана до заданной частоты вращения на минимальном шаге перед взлетом может быть механической, как на автожире с прыжковым взлетом, или газодинамической, базирующейся на использовании сжатого воздуха турбокомпрессоров двигателей. Весовые затраты на создание системы раскрутки НВ вертоплана перед взлетом не превышают 3% от веса пустого аппарата, как и на автожире с прыжковым взлетом. Поэтому вертоплан, как и автожир, вследствие отсутствия механической трансмиссии для вращения НВ в полете будет иметь самые высокие среди всех винтокрылых ЛА весовую отдачу и относительный вес перевозимого груза.

У вертолета вертоплан заимствует принцип увеличения тяги НВ за счет экрана площадки взлета с целью реализации наименее энергозатратного способа взлета без разбега. Способ взлета вертоплана без разбега – это вертикальный подъем над площадкой на высоту 0,2-0,3 м путем увеличения общего шага НВ. Практически одновременно пилот переводит рычаги управления двигателями во взлетное положение для создания максимума силы тяги винтов изменяемого шага (ВИШ) с целью реализации короткой взлетной дистанции и достижения заданной скорости в процессе разгона на взлете.

Суммарное увеличение подъемной силы несущей системы вертоплана в момент отрыва от площадки составляет 1520%. Тяга НВ увеличивается на 20-25% за счет экрана поверхности и уменьшается до 7-8% за счет обдувки планера потоком воздуха от НВ. Подъемная сила несущей системы увеличивается на 3-4% за счет подъемной силы крыла, обдуваемого потоком воздуха от ВИШ. Для примера, в момент начала разбега на взлете крыло самолета Ан-12 создает около 10% подъемной силы.

В отличие от вертоплана на автожире с прыжковым взлетом НВ после раскрутки переводится на общий шаг до 5-7°. За счет избыточной тяги автожир подпрыгивает вертикально вверх на несколько метров. Одновременно под действием воздушного винта (пропеллера) аппарат приобретает поступательное движение, а затем переходит на обычный для автожира набор высоты.

Возможность создания авторотирующим НВ совместно с крылом необходимой величины подъемной силы в последующие моменты времени разгона вертоплана для выхода на самолетный режим подтверждается опытом проектирования и постройки крылатого автожира А-7 ЦАГИ. У автожира А-7 проблемы поддержания подъемной силы НВ совместно с крылом от взлета до полета с максимальной скоростью (более 200 км/ч) не было.

У самолета вертоплан заимствует крыло. Оно предназначено для разгрузки НВ и создания до 90% подъемной силы на крейсерской скорости полета. Для примера, крыло разгружало НВ винтокрылов «Ротодайн» на 60%, Ка-22 – на 85%.

Известно, что профильное сопротивление НВ на крейсерской скорости полета значительно больше, чем сопротивление крыла самолета. Следовательно, потери мощности двигателей на преодоление профильного сопротивления крыла самолета значительно меньше. В связи с этим при проектировании вертоплана НВ оптимизируется для получения максимума его подъемной силы при взлете-посадке без разбега-пробега, а крыло – для создания необходимой величины подъемной силы, уравновешивающей до 90% веса аппарата на крейсерской скорости, и достижения максимума аэродинамического качества аппарата. Аэродинамическое качество вертоплана достигает величины, соизмеримой с аэродинамическим качеством самолета короткого взлета-посадки (СКВП).

Вертоплан с комбинированной бипланной несущей системой садится без пробега с использованием реверса ВИШ. Несущий винт на вертоплане исключает такой опасный критический режим полета самолета, как сваливание, обусловленный потерей устойчивости и управляемости на малых скоростях полета. Следовательно, реверс ВИШ на вертоплане в отличие от СКВП может быть применен не после приземления, а на конечном участке планирования с таким расчетом, чтобы горизонтальная составляющая скорости планирования была погашена к моменту приземления. Вертикальная составляющая скорости уменьшается вплоть до нулевого значения увеличением общего шага НВ и его силы тяги.

Система управления вертопланом, как и винтокрылом, включает в себя вертолетные и самолетные органы управления. На взлете и посадке управление вертопланом осуществляется традиционным изменением общего и циклического шага НВ. Одновременно функционируют и самолетные органы управления вертопланом, которые эффективными становятся на больших скоростях полета.

По результатам выполненных расчетов аэродинамическое качество вертоплана составляет 10 единиц, крейсерская скорость – 450 км/ч, дальность полета с максимальной пассажирской загрузкой – 1400 км. Эти характеристики в совокупности с высокой весовой отдачей вертоплана существенно сказываются на уменьшении стоимости пассажиро-километра и тонно-километра (те же показатели у ЛА, созданного на базе вертолетного НВ, – выше).

Такое сочетание указанных ключевых характеристик ни в одном известном проекте винтокрылого ЛА до настоящего времени не рассматривалось и не предлагалось для реализации.

Вертоплан является винтокрылым летательным аппаратом двойного назначения. На его базе могут быть созданы десантнотранспортная и транспортно-пассажирская модификации в интересах Министерства обороны, МЧС и гражданских эксплуатантов. Вертоплан, как вертолет и самолет, в соответствии с требованиями заказчика и эксплуатанта может быть разработан в любой целесообразной весовой категории.

Технический риск в создании вертоплана практически отсутствует. У этого аппарата фюзеляж, крыло, двигатели и тянущие винты, хвостовое оперение обычного самолетного типа. При этом ЦАГИ имеет достаточный опыт проектирования и создания авторотирущих НВ, которые успешно применялись на 15 типах и модификациях летавших автожиров.

Отсутствие у вертоплана динамически нагруженных агрегатов трансмиссии (редукторы, валы) и рулевого винта с ограниченными ресурсами, а также непроизводительных затрат мощности двигателей на обеспечение их работы существенно снижают его стоимость и финансовые затраты на его техническую эксплуатацию по сравнению с вертолетом или винтокрылом, созданным на базе вертолетного несущего винта. Из-за отсутствия указанных агрегатов вертоплан более надежен, его летная эксплуатация безопаснее, а техническое обслуживание проще. Как и автожир, вертоплан имеет минимальный относительный вес пустого аппарата, следовательно, – больший вес полезной нагрузки по сравнению с вертолетами или КВЛА.

Ми-38

Таблица 1   Пассажирский вариант вертолета Ми-38 Вертоплан Максимальный взлетный вес 15300 кг 15800 кг Максимальное количество пассажиров 30 чел. 30 чел. Максимальная дальность полета с 30 пассажирами 530 км 1400 км Крейсерская скорость полета 275 км/ч 450 км/ч Вредная пластинка 2,3 м² 1,85 м² Аэродинамическое качество 3,5 10,0

Вертоплан органично впишется в существующую систему летной эксплуатации вертолетов и самолетов на местных и региональных авиалиниях. По сравнению с самолетом вертоплан приобретает уникальное качество по осуществлению взлета без разбега и посадки без пробега. Он без ограничений может базироваться как на аэродромах любого класса, так и на вертодромах и вертолетных площадках, в том числе с грунтовым покрытием.

Этот летательный аппарат с максимальной пассажирской загрузкой обеспечивает полет на дальность 1400 км по действующим местным и региональным авиалиниям, а в районах с неразвитой транспортной инфраструктурой – на расстояния до 700 км от базовых аэродромов, вертолетных площадок и возвращение на них без дозаправки. Это хорошо сочетается с Концепцией развития гражданской авиации РФ по реализации 100% транспортной доступности для населения районов и регионов, где авиация является основным видом транспортного сообщения. Перспективный винтокрылый ЛА окажется привлекательным для эксплуатантов и для пассажиров из-за относительно невысоких стоимостей пассажиро-километра и тонно-километра.

Наиболее наглядно преимущество вертоплана над пассажирским вариантом современного отечественного вертолета Ми-38 видно при их непосредственном сравнении по ключевым летно-техническим данным (табл. 1).

В настоящее время отечественные ОКБ предложили для разработки пассажирские скоростные вертолеты (ПСВ) с крейсерской скоростью более 400 км/ч. Об этом неоднократно сообщалось в различных источниках информации. Реализовать крейсерскую скорость более 400 км/ч на ПСВ планируется за счет как увеличения аэродинамического качества несущего винта и применения толкающего винта (пропеллера), так и значительного увеличения мощности двигателей на крейсерских режимах работы. При этом топливная экономичность ПСВ окажется хуже, чем у его нескоростных предшественников. Относительное увеличение стоимости пассажиро-километра и тонно-километра у такого ЛА по сравнению с вертолетами предшествующего поколения может оказаться сопоставимым со сравнением сверхзвуковых пассажирских самолетов Ту-144 и «Конкорд» с дозвуковыми самолетами того же назначения и весовой категории. Стоимость авиабилетов для полета на ПСВ по местным и региональным авиалиниям вряд ли будет доступной для большинства пассажиров.

В связи с этим вертоплан, безусловно, является альтернативой ПСВ. Разрешение проблемы реализации этого проекта в нашей стране зависит от того, найдутся ли заинтересованные инвесторы и разработчик скоростного винтокрылого летательного аппарата с большой дальностью полета.

Григорий КУЗНЕЦОВ, канд. техн. наук

Более 800 000 книг и аудиокниг! 📚

Получи 2 месяца Литрес Подписки в подарок и наслаждайся неограниченным чтением

ПОЛУЧИТЬ ПОДАРОК