Метод энергий и метод мощностей

Предлагаем вниманию читателей журнала статью заслуженного деятеля науки РФ, лауреата Государственной премии, ведущего специалиста МВЗ имени М.Л. Миля Александра Самойловича БРАВЕРМАНА. В ней приводятся сведения о двух методах, использующихся при расчете посадочных траекторий вертолета: методе энергий и методе мощностей.

Метод энергий

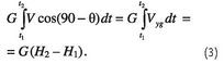
Предпосадочный маневр вертолета выполняется, в основном, по прямолинейной траектории. И в начале, и в конце этого маневра угловые скорости вертолета практически равны нулю. Поэтому при расчете траектории посадки используется теорема кинетической энергии материальной точки, гласящая: изменение кинетической энергии равно работе внешних сил, действующих на точку:

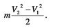
где m — масса вертолета; V — скорость полета; А — работа внешних сил на рассматриваемом участке траектории, равная

В приведенных формулах индексом 1 отмечены скорость V и время t в начале рассматриваемого участка траектории, а индексом 2 — в конце участка. Сила сопротивления несущего винта X (X > 0, когда сила направлена назад) и сила сопротивления планера вертолета X, скорость и время, не отмеченные индексом, — это текущие значения этих величин при движении на рассматриваемом участке траектории. Для простоты сила тяжести G отнесена к внешним силам.

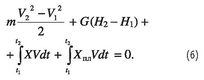
Работа отрицательна, так как проекция вектора силы тяжести на вектор скорости V (рис. 1), а также силы X и Xпл не совпадают с направлением движения. Но при снижении вертолета (угол 0 отрицателен) проекция силы G совпадает с направлением движения и ее работа положительна. То же имеет место с силой X: при подаче на винт достаточной мощности сила X становится пропульсивной, направленной вперед.

Работа силы тяжести, являющаяся потенциальной энергией вертолета, равна

Здесь и ниже индексом g отмечаются обозначения в земной системе координат.

Приведем уравнения движения вертолета в скоростной системе координат:

Теорема (1) следует из уравнения (4). Действительно, если умножить обе его части на скорость полета V, то слагаемое mV(dV/dt) в интеграле дает изменение кинетической энергии вертолета:

При снижении в каждый момент времени элементарная работа отрицательна: сумма сил сопротивления винта и планера превосходит проекцию силы тяжести.

По уравнениям движения находятся граничные значения сил X и Y. Например, в момент посадки желательно иметь: Vyg=-2,5 м/с, V=50 км/ч, dV/dt=-0,5 м/с², dθ/dt=0…0,05 1/с. Силы Xпл и Yпл допустимо определять при угле атаки 15°. В начале предпосадочного маневра X и Y известны из аэродинамического расчета на режиме планирования. Окружная скорость несущего винта ωR в момент посадки определяется из формулы Y~T=(0,95.1,05)G=(Cт/σ)σρF(ωR)²/2 при коэффициенте Cт/σ, соответствующем шагу лопастей в момент посадки. Промежуточные значения X, Y и окружная скорость несущего винта находятся подбором (последовательными приближениями).

Рис. 1. Силы, действующие на вертолет

На режиме авторотации при выборе величин сил X и Y может использоваться соотношение X=Y/K. Оно полезно, так как качество несущего винта K практически не зависит от коэффициента тяги винта Cт/σ, а только от отношений V/ωR и ωR/α (где α — скорость звука), но оно не может использоваться при малых скоростях полета и больших углах наклона траектории. При вертикальной траектории Y=0, K=0 и это соотношение бесполезно.

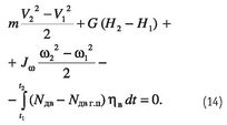
Таким образом, уравнение, выражающее баланс энергий вертолета, имеет вид

При расчетах целесообразно задаваться временем Δt = t2-t1 изменения скорости от V1 до V2, а по уравнению баланса энергий находить изменение высоты полета за время маневра. При посадках вертолета H2=0, V2 — посадочная скорость; ее горизонтальная и вертикальная составляющие равны:

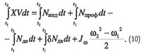
Из литературы по аэродинамике несущего винта известно выражение

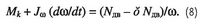
Здесь Nинд и Nпроф, — индуктивные и профильные потери мощности винта; Mk — крутящий момент аэродинамических сил винта; w — угловая скорость винта; М и М — продольный и поперечный моменты винта (моменты на втулке); ωz и ωx — угловые скорости поворота винта в продольной и поперечной плоскостях вертолета. При посадках вертолета, как сказано выше, слагаемыми, содержащими wz и можно пренебречь. Выражение (7) может быть преобразовано следующим образом. При изменяющейся угловой скорости несущего винта крутящий момент винта определяется из формулы

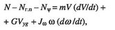
Здесь — Jω момент инерции винта и вращаемых им агрегатов. Формула (8) является условием равновесия моментов относительно оси вала несущего винта; слева — моменты аэродинамических и инерционных сил лопастей (положительные значения моментов направлены против вращения несущего винта), а справа — момент, создаваемый двигателями вертолета (положительные значения моментов направлены по вращению несущего винта); δNдв- мощность двигателей, расходуемая на приводы электро-, гидравлических и других систем вертолета, на вращение рулевого винта и теряемая из-за потерь на входе в двигатель и на выхлопе. Подставив формулу (8) в выражение (7), получим

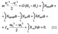
Проинтегрировав выражение (9) в пределах рассматриваемого участка траектории, получим формулу для энергии вертолета, расходуемой на преодоление силы сопротивления несущего винта за время пролета участка траектории:

Используя это выражение, получим второй вариант уравнения баланса энергий:

Уравнение (11) интересно тем, что в него в явном виде входит энергия, сообщаемая несущим винтом. Определим величину, а

следовательно, и значимость каждой составляющей в балансе энергий (отметим, есть авторы, считающие, что посадочная скорость вертолета на режиме авторотации зависит главным образом от изменения кинетической энергии несущего винта, что несправедливо, так как в уравнение (11) входят другие, большие по величине слагаемые).

Подынтегральные функции в выражениях (6) и (11) определены по данным расчета посадок, выполненных численным интегрированием уравнений движения. Допустим, вертолет (G=11 т, Jω=1200 кгм/с²) снижался со скоростями V=130 км/ч, Vyg=-13,7 м/с, ω=25,2 1/с. На высоте 44 м летчик начал предпосадочный маневр, увеличив угол тангажа и с 3° до 20–25° за 1,3 с. При таких углах тангажа сила X увеличилась на ~ 4000 кг и стала равной 7000–8000 кг. Вертолет интенсивно замедлялся:(dV/dt)~~-4 м/c2, поэтому ю увеличилась до 27 1/с, а скорость снижения упала до 7 м/с. На V<100 км/ч уменьшение V прекратилось. На высоте 10 м летчик начал увеличение шага винта, то есть «подрыв». Шаг винта был увеличен до максимального — на 14° за 1,8 с. При этом шаге винт вертолета имел следующие величины безразмерных коэффициентов: Cт/σ=0,28, mk/a=0,019. Максимальное замедление винта на 4,8–5,3 секундах равно -6,51/с². Создаваемая инерционными силами мощность Jωω(dω/dt)= =163 тыс. кгм/с=2200 л.с., однако эта мощность создается в течение непродолжительного времени: 0,5 с (общее время замедления винта 3 с). Несмотря на уменьшение окружной скорости винта при промежуточной величине шага лопастей сила тяги винта увеличилась: Тmax =14 Тс. Следовательно, увеличилась подъемная сила винта и Vyg начала уменьшаться (по абсолютной величине). Величина угла атаки а во время планирования вертолета равнялась 19°, во время торможения — 30–37°. Предпосадочный маневр длился t2-t1= 5,6 с.

Столь интенсивное пилотирование потребовало отклонения автомата перекоса в пределах ±4°. Приземление вертолета произошло с углами тангажа фюзеляжа и винта 8° и 3° соответственно, со скоростями V2=65,7 км/ч, Vyg=-2,6 м/с, ω2=17 1/с, с углами θ=8°, α=3+8=11°.

«Подрыв» приводит к существенному уменьшению вертикальной составляющей посадочной скорости, но мало влияет на горизонтальную составляющую и длину пробега вертолета (рис. 2).

Величины изменения энергий за время предпосадочного маневра оказались следующими (в 1000 кгм или 10000 Дж):

энергия винта и планера: 955 и 65.

Таким образом, работа внешних сил А=480-955-65=-540, следовательно, теорема (1) и уравнение баланса энергий выполнены: -540-480+955+65=0. Энергия винта, равная 955, состоит из индуктивных и профильных потерь: 700 и 398; потерь на привод систем вертолета: 63; изменения кинетической энергии винта: -206 (700+398+63-206=955).

Рис. 2. Изменение параметров вертолета при посадках на авторотации и с одним работающим двигателем; момент инерции НВ 1200–1450 кгм/с²

Большая часть энергии пришлась на преодоление индуктивных и профильных потерь несущего винта. Уменьшение кинетической энергии несущего винта внесло в баланс энергий вертолета 206 тыс. кгм. Эта величина складывается из роста энергии при замедлении винта (в основном при «подрыве») на 280 тыс. кгм, а потери при начальной раскрутке винта равны 74 тыс. В балансе энергий кинетическая энергия винта составляет 17 %.

Определение посадочной скорости сводится к определению кинетической энергии вертолета в момент приземления. В этом примере по расчету уравнения (6) она равна: mV2²/2=(725+480)-(955+65)-1205-1020=185 тыс. кгм. По уравнению (11) энергия вертолета в момент приземления равна (725+480)+(206)-(700+398+63+65) = =1411–1226=185 тыс. кгм. Первая скобка в этом выражении — это энергия в начале предпосадочного маневра, вторая — энергия, приобретенная во время предпосадочного маневра, третья скобка — потерянная энергия.

Ошибка в величине потерянной энергии на 10 % приблизительно в 2 раза изменяет величину кинетической энергии вертолета в момент посадки, так что в ~1,5 раза изменяет величину посадочной скорости. Следовательно, потерянная энергия несущего винта (а это индуктивные и профильные потери) должна определяться по совершенным программам, а не по приближенным формулам.

Был сделан расчет посадки на режиме авторотации вертолета, у которого момент инерции винта увеличен до 1450 кгм/с2, то есть на 20 %.

Управление вертолетом было таким же, как при Jω=1200 кгм/с². Расчет показал, что уменьшилась раскрутка винта при торможении вертолета и частота вращения винта при «подрыве» стала большей: ω2=18 1/с вместо ω2=17 1/с. Изменение кинетической энергии винта при «подрыве» увеличилось только на 9 %, стало равным 224 тыс. кгм. Посадочная скорость Vxg и длина пробега не изменились. Подъемная сила Y из-за увеличения ю возросла, так что вертикальная составляющая посадочной скорости Vyg уменьшилась на 0,7 м/с, с 2,6 до 1,9 м/с. Таким образом, внесенная из-за увеличения Jω энергия 224000-206000=18000 кгм привела к уменьшению кинетической энергии вертолета в момент посадки только на 1800 кгм (уменьшение Vyg), а 16200 кгм — повышение индуктивных потерь винта из-за увеличения Y. Если выполнять посадки с Vyg=2,6 м/с, то можно увеличить начальную высоту маневра и время интенсивного торможения вертолета с большим углом тангажа, так что посадочная скорость уменьшится, но немного, до 58 км/ч. Эти примеры показали, что увеличение момента инерции винта, а следовательно, массы вертолета нецелесообразно.

Для получения сертификата летной годности делается много расчетов посадок вертолета с одним отказавшим двигателем. Поэтому и был сделан расчет энергий при такой посадке. Летчик выполнял планирование с V=75 км/ч и начал предпосадочный маневр на высоте 29 м. Предпосадочный маневр выполнялся очень плавно: тангаж увеличен за 4 с на 7°, dV/dt=-1,1 м/с², при «подрыве» шаг винта увеличен не до максимального, а на 4° за 6 с. На 9-й секунде Nдв увеличилась до максимальной, ω начала резко уменьшаться. Маневр длился 13 с. При посадке Vxg =26 км/ч, Vyg=-0,6 м/с, ω=22,3 1/с. Получились следующие результаты (в тыс. кгм):

энергия винта и планера соответственно составляет 530 и 0. Работа внешних сил А=320-530-0=-210. Энергия винта, равная 530, состоит из индуктивных и профильных потерь: 1680 и 630; энергии двигателя минус потери на привод систем вертолета: 1685; изменения кинетической энергии винта: -95 (1680+630-1685-95=530). Кинетическая энергия вертолета при посадке и посадочная скорость: mV/2=(243+320)-530=33, V2=26 км/ч.

Следует отметить, что по сравнению с посадкой на авторотации из-за работы одного двигателя интеграл от XV уменьшился, а его составляющие от индуктивных и профильных потерь винта велики (из-за малых скоростей полета и увеличения продолжительности маневра). Поэтому небольшие ошибки при определении этих потерь недопустимы. Важно правильно определить продолжительность предпосадочного маневра, от которой зависит величина интегралов, в том числе энергия, вносимая работающим двигателем. В книге «Динамика вертолета. Предельные режимы полета» (Браверман А.С., Вайнтруб А.П. М.: Машиностроение, 1988) время маневра определялось по предварительным расчетам нескольких маневров численным интегрированием уравнений движения. Затем была получена аналитическая зависимость времени маневра от высоты, на которой происходит отказ двигателя.

В приведенном выше примере (формула 6) вносимая энергия равна 243+320=563, а потерянная — 530, их разность, то есть кинетическая энергия в момент посадки, равна 33. По расчетам по формуле (11) вносимая энергия равна 243+320+1685+95=2343, а потерянная 1680+630=2310 кгм. Значит, кинетическая энергия при посадке и посадочная скорость определяются как малая разность больших величин, следовательно, требуется высокая точность расчетов. Небольшая ошибка в величине потерь приводит к принципиальному искажению результатов расчетов. Однако даже при ошибке можно найти такое управление шагом винта и мощностью двигателя, что посадочная скорость будет малой.

В работе «О безопасной высоте висения» (вертикальной посадке вертолета после отказа двигателя на режиме висения) на числовом примере показано, что энергия работающего двигателя составляет 70 % от энергии индуктивных и профильных потерь, а энергия «подрыва» — 12 %. Изменение кинетической энергии вертолета мало, так как вертолет изменяет скорость от нуля до малой величины: вертикальная посадочная скорость не более 3–4 м/с. Требуется найти потенциальную энергию вертолета, которой пропорциональна высота висения. Потенциальная энергия равна 100 %- (70+12)%=100 %-82 %=18 %, то есть величины энергий не так близки, как при посадке с режима планирования с поступательной скоростью.

Метод мощностей

Есть методы, в которых для определения dV/dt и Vyg используется уравнение

Авторы фактически предполагают, что потери мощности и сила X равны как при маневрировании вертолета, так и при установившемся горизонтальном полете.

В книге «Динамика полета вертолета» (Трошин И.С. М.: МАИ, 1990) дана следующая формула:

где — Nv увеличение мощности при изменении направления полета. Однако потери мощности изменяются и при прямолинейном полете. В работе нет указания, как найти Nv.

Предлагается другая формула:

В это уравнение входят мощность двигателя и коэффициент ηв, названный пропульсивным коэффициентом вертолета. Известно понятие о пропульсивном коэффициенте η несущего винта. Он определяется как отношение приращений (Δ — обозначение приращений) пропульсивной и полной мощностей несущего винта:

η =-Δ (XV)/ΔN.

Получим аналогичное выражение для коэффициента ηв. Приравняв друг к другу выражения для произведения XV по уравнениям (4) и (9), получим

Это уравнение при установившемся горизонтальном полете обращается в следующее:

Вычтем из первого уравнения второе:

Обозначив

получим предлагаемое выражение (12). Из выражения (13) видно, что коэффициент ηв, кроме изменения индуктивных и профильных потерь несущего винта при маневрировании, учитывает изменение силы сопротивления планера вертолета, изменение взаимовлияния винтов и планера, а у многовинтовых схем — изменение взаимовлияния винтов. Он учитывает также изменение потерь мощности двигателя при маневрировании.

Коэффициент ηв находится не по формуле (13), а следующим образом. Определенная в летных испытаниях или по расчету зависимость GVyg=ƒ(Nдв) на установившемся прямолинейном полете при G=const, Vcosα=const и ωR=const линеаризуется, то есть максимально близко к экспериментальным или расчетным точкам проводится прямая линия (нетрудно показать, что точки располагаются близко к прямым). Эта зависимость определяется не при V=const, а при Vcosα=const, чтобы охватить все возможные траектории с любыми углами θ. Так, в полете вертолета по вертикали, когда 0~α=±90°, точки с разными V ложатся на кривую с Vcosα=const=0. Коэффициент ηв равен тангенсу угла наклона прямой. По этой зависимости находится также Nдв.г. п.

Определение ηв и Nдв.г. п можно формализовать и выполнять на компьютере.

Указанную зависимость требуется определить при разных Vcosα=const. Формулу (12) проще использовать для расчета торможения или разгона вертолета по прямолинейной траектории, когда G-ranst, так как в этом случае величины Nдв.г. п и ηв достаточно определить при одной величине G.

Проинтегрировав уравнение (12), получим еще один вариант уравнения баланса энергий:

Из формулы (12) и уравнения (4), умноженного на V, следует соотношение

Это соотношение подтверждает справедливость уравнения (14).

Остановимся на величине коэффициента ηв. Она зависит от величины η На рис. 3 показан график указанной выше зависимости в безразмерном виде для идеального винта.

На больших скоростях (V>70…140 км/ч в зависимости от отношения нагрузки на 1 м² площади винта к относительной плотности воздуха) — Δ(XV)=ΔN и ηid=1. У реального винта на режимах полета с такими скоростями η~0,95. При меньших скоростях наклон кривых на рис. 3 возрастает, следовательно, — Δ(XV) больше, чем ΔN, и ηid>1. Величина ηid при Vcosα=0 достигает 1,85. Увеличение ηid объясняется уменьшением индуктивных потерь несущего винта из-за увеличения массы протекающего через винт воздуха. Однако η, тем более ηв, меньше ηid из-за возрастания профильных потерь при увеличении — XV. При вертикальном наборе высоты η=1,8.1,5. Для определения ηв рассматриваемого вертолета был сделан расчет зависимости GV fNJ при вертикальном наборе высоты, из которого следует, что у вертолета Nдв.г. п =3460 л.с., ηв=1,4. Так как ηв>1, то это значит, что скобка в числителе выражения (13) отрицательна, то есть уменьшение N больше, чем увеличение остальных слагаемых числителя. На скорости 85 км/ч у этого вертолета Nдв.г. п ==2950 л.с., ηв=0,96. Таким образом, в методе мощностей, особенно при скоростях менее ~100 км/ч, нужно использовать формулу (14), так как ηв¬=1.

Рис. 3. Зависимость безразмерной пропульсивной мощности от полной мощности

Можно сделать следующие основные выводы:

1) из-за малых посадочных скоростей у вертолета его кинетическая энергия в момент посадки является малой величиной по сравнению с начальными, вносимыми и потерянными энергиями. Поэтому при расчетах посадочных скоростей должны учитываться все входящие в уравнение баланса виды энергии. Определять их нужно не по приближенным формулам, а как можно точнее;

2) при использовании метода мощностей необходимо учитывать пропульсивный коэффициент вертолета.

Более 800 000 книг и аудиокниг! 📚

Получи 2 месяца Литрес Подписки в подарок и наслаждайся неограниченным чтением

ПОЛУЧИТЬ ПОДАРОК